The Antarctic Expedition That Showed Lockdowns Would Never Work
And Never Will
In 1969, 14 men ventured to the British Antarctic Survey Base on Adelaide Island. It is situated on the south-west coast of the Antarctic Peninsula, around 1000 miles south of the Falkland Islands. The base is isolated from late March to mid-December every year which coincides with the departure and arrival of two survey aircraft.
Adelaide Island was first sighted from the brig Tula in February 1832 when completing a circumnavigation of the Antarctic continent. The ship’s master, John Biscoe, named the land after Queen Adelaide, the wife of British monarch King William IV. It was not until the British Graham Land Expedition of 1934–37 that Adelaide was confirmed to be an island separate from the Antarctic Peninsula.
The 14 men arrived by sea and air at various times between December 1968 and March 1969, relieving a previous group of men. The Base members were all between the ages of 21 and 35 and in good health.
The last aircraft left on 18 March and flew north for the winter, after which the Base was completely isolated from the outside world, except for radio. In effect, these 14 men were in lockdown with their only company being each other and five husky dogs.
They lived in dry wooden huts in the form of a small complex of buildings, heated by solid fuel burners. However, the sleeping hut was made of fibreglass and was heated with a small electric convector heater, supplemented by paraffin stoves in the colder months. This meant the sleeping hut could get damp on occasions.
Food mainly came from packets or tins and there were no fresh fruits or vegetables. They did supplement their diets with regular vitamin tablets. Bread was baked daily and occasionally meat was thawed for a special treat.
In the winter months there was very little daylight or none at all. Other than the husky dogs an occasional penguin or seal might wander by.
The medical history of each Base member was noted throughout the period of isolation and when symptoms and signs appeared they were recorded on daily observation charts. Serum and nasal samples were taken monthly from the men.
This was the closest you will ever get to a controlled clinical trial to establish whether lockdowns work to prevent the transmission of viruses. These men were alone, for months on end, in the middle of nowhere.
Before this expedition it was commonly believed that on small Antarctic bases such as this, isolated for many months, upper respiratory infections died out in the first few weeks of isolation. Previously, the arrival of relief ships or aircraft resulted in outbreaks of respiratory diseases.
However, this time something strange happened.
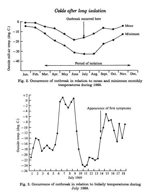
As I say, 14 young and healthy men arrived at the Base with no illnesses. The last aircraft left on 18 March leaving them in total isolation. For the next 17 weeks, all the men remained in good health with no colds observed or detected clinically. Two men left the Base with their dog teams at the end of June for 6 months, during which time they suffered no respiratory symptoms.
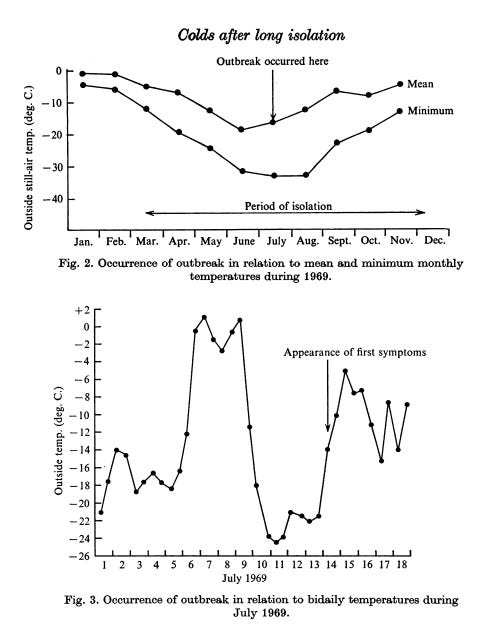
Then, on 14 July 1969, one of the 12 remaining men presented with respiratory symptoms closely resembling those of a mild to moderately severe cold. Over the next 2 weeks, eight out of the 12 men suffered similar respiratory symptoms and a further two had attacks of sneezing.
Remember, these men had not seen another soul for 17 weeks and had been healthy the whole time but then suddenly, out of nowhere, a virus had made them ill.
Of the four men who showed minimal or no symptoms, two worked in a separate hut during the daytime and shared the same sleeping cubicle. Another tended to work at night and slept during the day, thus reducing contact with other Base members.
Whilst looking at all the environmental factors, researchers noticed that the outbreak occurred just over 3 weeks after midwinter and was preceded by 2 weeks of bad weather conditions. During this time most people stayed in the safety of the central hut and social contact was thus greatest in the 2 weeks before the outbreak of respiratory disease.
There was also minimal daylight for the first half of the month and there was no sunshine until 24 July, 10 days after the appearance of the first symptoms.
Researchers trying to work out what had happened at the Base found that nasal washings from two men, affected in the outbreak, produced cytopathic effects in WI38 cells and these effects were reproduced in the next passage of WI38 cells. The changes in the cells looked similar to those caused by coronaviruses but they couldn’t definitively say that they were caused by a coronavirus.
No virus was detected when samples were examined with an electron microscope. Nor did the samples yield any pathogenic bacteria.
Ten volunteers were given pooled nasal secretions from the outbreak and only one doubtful cold was produced. Nasal secretions were taken from these volunteers and given to a further seven participants, none of which produced any symptoms.
The researchers concluded that the occurrence of a common cold during isolation, when the chances of introduction of a new infection from the outside was virtually nil, implied that in some way the virus persisted, either in the environment or in the men.
One way for the virus to persist was in the respiratory tract of one or more of the men. If such were the case it would be necessary to postulate a triggering mechanism to precipitate the symptoms. The researchers found it interesting that the symptoms occurred 4 days after a precipitous fall in outside temperatures and during one of the coldest months of the year.
Non-respiratory viruses such as those of the herpes group often persist for the lifetime of a human so why would it not be the case for other groups of viruses? Observations in animals have shown that pigs can carry swine influenza and transmit infections to other pigs 3 months later.
What this cold outbreak shows is that however hard or early you lockdown, you will never be able to prevent transmission of a virus. Viral swarms exist within each of us and eventually these will mutate to evade the host’s immune system or better adapt to the host environment. Mutations may occur in one individual or when the swarms mix when humans interact with others.
Even in the complete isolation of an Antarctic Base, a virus managed to escape detection for over 17 weeks before producing symptoms in an individual and then spreading to others.
Lockdowns don’t, and will never work.
Information taken from the Original 1973 Study






The military did a similar exercise with similar results -- 'locked down' soldiers had a slightly higher rate of infection than 'normal' soldiers.
To me, it was obvious that if we couldn't keep the virus out of nursing homes and jails (where we can basically control everybody who comes in and out), we had no way of keeping it out of the general population.
Edit: Found the study
https://www.aier.org/article/even-a-military-enforced-quarantine-cant-stop-the-virus-study-reveals/
Lockdowns do work, they were never to stop diseases.. they are to test how compliant / stupid a population can be by simply using media propaganda to control them. They work perfectly against a large ignorant percentage of the human race.